扫码下载
BTC $78,849.02 +4.74%
ETH $2,388.84 +4.06%
BNB $645.00 +2.34%
XRP $1.45 +1.95%
SOL $87.87 +3.06%
TRX $0.3287 -0.91%
DOGE $0.0972 +3.39%
ADA $0.2531 +3.15%
BCH $464.31 +4.24%
LINK $9.46 +1.55%
HYPE $40.90 +2.96%
AAVE $94.14 +2.99%
SUI $0.9651 +3.09%
XLM $0.1802 +1.85%
ZEC $325.42 +3.09%
BTC $78,849.02 +4.74%
ETH $2,388.84 +4.06%
BNB $645.00 +2.34%
XRP $1.45 +1.95%
SOL $87.87 +3.06%
TRX $0.3287 -0.91%
DOGE $0.0972 +3.39%
ADA $0.2531 +3.15%
BCH $464.31 +4.24%
LINK $9.46 +1.55%
HYPE $40.90 +2.96%
AAVE $94.14 +2.99%
SUI $0.9651 +3.09%
XLM $0.1802 +1.85%
ZEC $325.42 +3.09%

ApeX Protocol:一文读懂多链衍生品交易协议 ApeX 的 Staking 策略

Summary: Staking 计划不仅对 APEX 的流通量具有锁定效应,随着计划的不断推进,其对 APEX 的价格也具有非常大的促进作用。
ApeXProtocol
2023-02-06 11:04:50
收藏
Staking 计划不仅对 APEX 的流通量具有锁定效应,随着计划的不断推进,其对 APEX 的价格也具有非常大的促进作用。

作者:ApeX Protocol

 

ApeX Protocol介绍

 

ApeX Protocol是由Bybit旗下的Davion Labs孵化的去中心化多链衍生品交易平台,Davion Labs作为聚焦区块链和加密货币领域的孵化器,一直致力于Web3领域的优质项目的发掘。除此之外,ApeX 还获得Dragonfly Capital 、Mirana Ventures、Tiger Global、Jump Trading、Kronos、CyberX 和 M77 Ventures等诸多知名投资机构的投资和支持。

基于ZK的多链订单簿dex

作为DEX,ApeX Pro 通过提供订单薄模型的永续合约交易模式,实现了用户高效的交易体验。同时交易者的资产完全处于链上,由交易者自己控制私钥,ApeX通过非托管资产的方式保证了用户资产安全。并且依托于ZK Rollup拓容和安全方案,ApeX实现了链下链上数据一致性和完整验证,确保了用户交易的安全性和隐私保护,是ZK赛道里的一个完整的多链应用产品。对比同类产品dYdX和GMX,ApeX增加了挖矿奖励回购以及推荐奖励等机制,以及提供了更优惠的交易费率,发展潜力不容小觑。

APEX代币和挖矿代币BANA

APEX代币属于ApeX协议的治理代币,总供应量为10亿。其中23%的代币分配给了核心团队和早期投资者,其余77%用于平台建设的参与奖励、生态系统建设和流动性激励。APEX持有者有权参与平台的治理、以及分享协议的激励。

BANA是ApeX Pro的奖励代币,通过交易挖矿来赚取(每周为一个挖矿周期),交易挖矿活动期间,总计2500万枚APEX锁定被铸造成BANA,锁定时间为12个月(锁定期内BANA可交易为USDC,但不可兑换为APEX)。目前交易者可以选择添加BANA-USDC pool的LP来增加交易挖矿收益, 挖矿结束后即今年11月平台将按照BANA回购销毁之后的redeem rate将BANA兑换为APEX。

 

APEX代币Staking介绍

 

质押代币,直接参与平台分红

ApeX Pro于近期推出了Staking功能,ApeX Pro产生的手续费,将分配5%给Staking的参与者(未来会增加到30%),用户质押APEX/esAPEX代币可以直接获取USDC。目前官方数据显示第一周质押的APR高达40%。

对比同类产品dYdX的市值3.5亿美金,GMX的市值5亿,APEX市值现在只有1000万美金左右,然而DYDX并没有Staking机制,GMX将平台收入的30%分配给Staking参与者,ApeX通过了代币staking的模式将更多的项目收益绑定给了代币持有人。

ApeX质押计划核心价值主张:

  • 没有任何限制条件。用户可随时开始和取消质押,当然用户投入的质押时间越长,回报就越大,因此每个 ApeX 玩家都可以根据自己在 ApeX Pro 上的偏好来规划和定制投资组合策略。
  • 适用于各种类型的交易者。只需要下注质押 esAPEX 和/或 APEX 代币,就可以获得奖励。
  • 质押奖励不仅考虑到质押资产,用户的交易活动也会增加其收益。质押奖励公式考量了“t2e”活动的分数,为质押用户带来额外收益。

依据其设计原理,APEX质押奖励计算公式可拆借分3部分:

质押数量

用户投入的APEX 或者esAPEX是计算质押奖励权重最大的参数,也是用户参与质押活动的成本构成。

质押时长

image

这部分计算方式简单理解,用户累计质押时长(天数)/365即是用户质押的时间分数,随着质押时间增加而不断累加,质押两年之后可以拿到最大值2。

交易分数

image

用户在最近4个挖矿周期获得的平均T2E Score为Average T2E Score,所以T2E获取的分数越大,此部分的质押得分越高。值得注意的是平均挖矿分数超过500后,交易分数因子就触发了上限2,不再对质押奖励有影响。

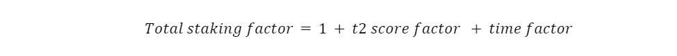
在计算总的质押因子时,三者是相加的关系:

image

由于质押时长只能通过时间积累获得,所以质押用户要想提高个人的收益率(获取更多的质押奖励分配比例),努力增加个人的交易分数可以增加更多的收益。

例如下图中的一位质押用户,将个人平均t2e分数提高到500(定格),所以其质押收益率提高了200%,质押池APR为40%(当期奖励金额/质押池APEX和esAPEX总价值*52),但其个人APR为120%,这就是努力增加t2e分数的效果。

image

用户质押APEX收益率数据

image

用户质押APEX质押分数数据

 

APEX代币Staking深度分析

 

目前APEX和esAPEX被质押总数量为430万个,价值129万美元,属于Staking计划的起步阶段。对比市场上存在的Staking计划,参与者除了可以享受质押代币带来的奖励外,ApeX独创的质押奖励与交易挖矿成绩挂钩的计算方式,让Staking和t2e获得形成了飞轮效应,参与者还可以获得如下额外收益:

交易成本接近于0

根据现有数据统计,用户参与ApeX Pro的交易挖矿,用户最低可以获得交易手续费45%的奖励,这部分可以看做交易返佣,目前市场上普遍的交易返佣比例在40%,而在Apex Pro最低可以返还45%;

如果在BANA价格较低时,组少量LP,大约投入200美金,挖矿奖励占比交易费可以占比到70%,这是市场上少有的返佣比例,交易成本大幅度降低。

Staking计划的推出,让用户在获得交易奖励的同时,还可以获得额外的质押奖励,这将使得用户获得总奖励几乎可以覆盖其交易成本,目前整个加密货币市场没有一个衍生品平台可以让所有用户的总交易成本接近于0,而衍生品交易用户对交易成本极其敏感,所以ApeX Pro对合约交易者的吸引力进一步增强。

USDC奖励更加稳定

各类Token的Staking奖励通常为质押的同种Token或者为其单独发行的奖励token,具有价格不稳定性或者中长期被动锁定的通病,同时质押奖励的释放还可能给原生Token带来额外的抛售压力,导致代币价格下跌,从而让APR持续走低的,用户所质押的代币价值下降,用户离开,抛售代币,从而形成价格“负循环”,导致用户本金亏损严重。

ApeX生态为了避免当前市场Staking计划普遍存在的上述通病,奖励采取USDC的形式发放,USDC是加密货币市场信誉最好的稳定币,参与者无须为质押奖励随着代币价格变化烦恼,这就避免了Staking计划让代币价格陷入“负螺旋”的风险。

APEX锁定效应

APEX代币的流通量目前为7000万枚,已经在Staking计划中锁定430万枚,锁定率为6.15%,对比市场平均15-25%左右的质押率,这一水平偏低,这主要因为Staking计划刚刚开始,所以这一比率还有较大的增长空间。

目前APEX代币价格为0.31美金,如果上述质押率提高到15%,市场上将有630万枚流通的APEX(当前价值189万美金)被锁定到质押计划中,结合最近一个月APEX在Bybit上的交易数据,这将会促使价格上涨至0.6美元上方(通常市场Orderbook中的卖单*10是买方将价格推高到某一位置的实际支出)。

所以Staking计划不仅对APEX的流通量具有锁定效应,随着计划的不断推进,其对APEX代币的价格也具有非常大的促进作用。

飞轮效应凸显

在上文中提到质押计划与交易挖矿相联系,皆源自于一个交易挖矿的设计细节:BANA在第52周交易挖矿结束后,可以按照期末的redeem rate(由于BANA会回购销毁,因此redeem rate会大于期初的0.001,目前为0.00105)兑换为APEX,无论APEX当时是什么价格。所以交易挖矿参与者有一个挖矿收益的“真实”参考:

  • 当BANA价格低于APEX价格*redeem rate时,选择持有BANA,等待价格重新挂钩后再出售或者等待兑换窗口;
  • 当BANA价格高于APEX价格*redeem rate时,直接出售APEX获得超额收益;

所以APEX代币的价格才是整个ApeX生态的价值基础,而Staking计划的开展让整个生态形成了“飞轮效应”。

image

ApeX生态飞轮效应图示

APEX价格上涨,让BANA价值提升,BANA价值的提升让交易挖矿奖励提高,交易挖矿奖励提高后,挖矿参与者的收益率会吸引新用户进入到交易挖矿活动,从而促使ApeX pro平台的手续费收入相应增加,而平台手续的5%会分配给Staking参与者,Staking奖励APR也跟随提升,从而吸引更多的用户加入到Staking计划,导致市场流通的APEX持续减少,同时Staking参与者的买入行为进一步推高APEX代币的价格,至此生态飞轮完成一个完整循环。

综上,ApeX的Staking计划既采纳了当前市场上质押计划的优点,又根据自身衍生品交易为主业的特点做了重要创新,让一个看似独立的Staking计划激活了整个生态的价值效应,在飞轮效应的加持下,ApeX生态的投资价值更加凸显。

warnning 风险提示
app_icon
ChainCatcher 与创新者共建Web3世界