扫码下载
BTC $78,920.64 +3.47%
ETH $2,401.85 +3.81%
BNB $649.79 +2.60%
XRP $1.46 +1.19%
SOL $88.72 +2.71%
TRX $0.3292 -0.55%
DOGE $0.0979 +2.72%
ADA $0.2553 +2.31%
BCH $463.71 +3.92%
LINK $9.49 +0.61%
HYPE $41.09 +1.63%
AAVE $94.21 +2.65%
SUI $0.9712 +1.87%
XLM $0.1805 +0.86%
ZEC $322.25 -2.21%
BTC $78,920.64 +3.47%
ETH $2,401.85 +3.81%
BNB $649.79 +2.60%
XRP $1.46 +1.19%
SOL $88.72 +2.71%
TRX $0.3292 -0.55%
DOGE $0.0979 +2.72%
ADA $0.2553 +2.31%
BCH $463.71 +3.92%
LINK $9.49 +0.61%
HYPE $41.09 +1.63%
AAVE $94.21 +2.65%
SUI $0.9712 +1.87%
XLM $0.1805 +0.86%
ZEC $322.25 -2.21%

ByteTrade Lab:详解 DEX 创新功能,以 dYdX、GMX、KTX和Bracket为例

Summary: 交易活动从CeFi迁移到DeFi不是“是否”的问题,而是一个“何时”的问题。
ByteTrade
2023-01-19 18:51:04
收藏
交易活动从CeFi迁移到DeFi不是“是否”的问题,而是一个“何时”的问题。

原文标题:《innovations of On-Chain Perpetual Protocols Part 3

作者:Frank Hu & Kester Wu,ByteTrade Lab

编译:倩雯,ChainCatcher

 

前言 

FTX暴雷事件余波未止,去中心化和透明度越来越受到关注。交易活动从CeFi迁移到DeFi不是“是否”的问题,而是一个“何时”的问题。

该文将关注衍生品DEX的创新功能,上篇内容详见《以GMX为例,详解链上永续合约协议的创新之道》。

 

背景

中心化交易所的崩溃导致中心化交易所进行自我托管/链上交易的去风险化,可以从2022年10月至2022年12月期间DEX与CEX在市场中的主导情况看出。

image

来源:TheBlock,Defillama,ByteTrade

虽然大多数链上交易量仍发生在Uniswap等现货DEX上,但链上衍生协议的交易量和TVL也在增加。

image

image

 

要点素览

  1. 衍生品DEX正在实施的创新功能包括:

在dYdX上的交叉保证金,混合或100%稳定币AMM池,KTX上的社交交易。

  1. dYdX上的交叉保证金允许交易者开立多个头寸,这些头寸使用相同的抵押品。
  2. 衍生的DEX利用两种AMM设计:

1)混合型(稳定币+资产)

2)100%的稳定币。

  1. KTX采用混合AMM设计,并计划利用社交交易来平衡平台上的OI偏差。
  2. 去中心化的期权协议以点对点的模式运作。在“点对点”模式中,流动性的管理方式与现货类似。流动性提供者将资产存入一个池子,然后交易者可以在该池子中买入期权。
  3. 期权的整合仍然有限,衍生品DEX和期权协议之间最可能出现的期权整合是进行资产价格对冲。
  4. “必要性是发明之母”。链上将会有更多DeFi的采用与更多的交易,协议将更有可能能够共同协作。

image

在传统金融中,衍生品是金融资产,其价格来源于基础资产(股票/债券/商品)。

 

衍生品 DEX

本文将重点关注DEX为用户提供的一些有趣功能上。

存入合同地址的资金只会用作原本的目的

image

衍生品DEX在2022年12月经历了交易量的下滑。然而,行业内发生的创新使人们保持乐观。

 

交叉保证金 

在众多DEX中,交叉保证金(cross margin)是由dYdX在开仓时专门使用的。与逐仓保证金(isolated margin)相比,交叉保证金允许交易者开立共享相同抵押品的多个头寸。

image

交叉保证金图解

整个账户的保证金要求是每个头寸的保证金要求之和。

单一头寸的保证金计算如下:

初始保证金要求=ABS(SxPxI)

维持保证金要求=ABS(SxPxM)。

备注:S是位置的大小,P是预言机的价格,I是初始保证金要求,M是维持保证金要求。

因此,有了交叉保证金的概念,计算一个账户的保证金只需计算所有头寸的总和。

总初始保证金要求=Σ(ABS(SxPxI))

总的维护保证金需求=Σ(ABS(SxPxM))。

尽管交叉保证金更灵活,但对于喜欢逐仓保证金的交易者来说,它略显麻烦。在dYdX上,逐仓保证金只能通过创建独立账户(使用新的钱包地址)来实现。

 

AMM 

dYdX运营一个链外订单簿撮合引擎,而GMX、GainsNetwork和KTX这样的协议使用AMM来促进订单的执行。

衍生品DEX利用两种AMM设计:

1)混合型(稳定币+资产)

2)100%稳定币。

GMX和KTX利用一个混合的,即“50%稳定币+50%蓝筹资产”的多资产池来促进交易。KTX目前在BNB Chain Testnet上,读者可以在这里试用该协议

image

资料来源:KTX

另一方面,Gains Network利用100%的DAI金库来促进交易。

image

在Gains Network上,无论是哪种交易对,都使用DAI抵押品进行交易。杠杆是合成的,由DAI金库、GNS/DAI流动性和GNS代币支持。DAI从金库中取出,以支付交易者的PNL(如果为正的话)或从其PNL为负的交易中获得DAI。

在下面的表格中,列出了两种设计之间的一些主要区别:

image

GMX和KTX将为用户提供高达50倍的交易资产的杠杆。通过使用混合设计,像MMX和KTX这样的协议受限于池中每个单独资产的数量。关于这两种AMM设计的好处和挑战,总结如下:

image

 

社交交易

GMX和KTX的LP面临着基础资产价格波动的挑战。一些协议,如Rage Trade和Umami Finance,已经着手解决这一挑战。然而,很少有AMM衍生品协议试图缓解平衡OI方面的挑战。

KTX的目标是通过社交交易建立一个内部OI平衡机制。

image

资料来源:KTX

image

KTX社交交易逻辑图解

这个功能还没有发布,但社交交易的逻辑可以分解为以下几点:

1.根据总交易量、总PnL(%)和PnL(美元),从KTX的交易竞赛中选出顶级交易员。这些交易者将被划分为空头和多头交易者。

2.交易者可以通过将资产/稳定币存入多头/空头金库并铸造收据代币来参与社交交易。

3.社交交易金库的交易规模将有限制。

4.金库收据的造币/销毁费用也将根据KTX当前的OI进行调整。例如,如果有更多的交易偏向于多头,那么交易者向多头金库存款的费用就会更高,为协议上的OI创造一个自然平衡机制。

 

期权

image

期权是给予其买方以特定价格买入/卖出相关资产权利的合同。

image

看涨期权为期权的买方提供了以某种价格购买资产的权利,看跌期权为期权的买方提供了以某种价格出售资产的权利。在中心化交易所,期权是以点对点的模式进行。期权由拥有相关资产抵押物的人出售,然后,期权买方可以购买这个期权并向期权卖方支付溢价。

对于去中心化的期权协议,期权是以点对池的模式进行的。在点对池模式中,流动性的管理方式与现货AMM类似。流动性提供者将资产存入一个池子,然后交易者可以从这个池子里购买期权。

下图显示了一个点对池模式的简化例子:

image

期权卖方可以通过提供:(1)基础资产($ETH/$DPX)和(2)报价资产($USDC/$2CRV)的流动性来分别写入看涨和看跌期权,从而被动地获得收益。这些抵押资产被存入一个合同,该合同以固定的行权价向买方出售看涨期权,在纪元(周/月)结束时到期。

image

以Dopex为例,点对池模式内存在不同的期权时间范围(每周/每月/每季度),但也带来资本效率低下和流动性分散的天然挑战。

 

围绕DEX期权协议的积木机制 

期权的用途非常广泛,任何金融收益都可以通过使用看跌期权和看涨期权来创造。然而,期权的整合仍然有限,衍生品DEX和期权协议之间最可能的整合是用于资产价格对冲。

资产价格对冲

由于像GMX和KTX这样的协议经营着混合的多资产池,LP面临着大幅度的基础资产价格波动,这些波动可以用期权来对冲。

例如,通过在GMX/KTX上提供流动性,LP会收到叫作$GLP/$KLP的收款代币。$GLP的功能类似于ETF,其价格基于基础资产(主要是$BTC和$ETH),包括GMX上交易活动产生的费用。如下图所示,$GLP的价格受到$ETH和$BTC价格下跌的不利影响。然而,由于GLP池由大约50%的稳定币组成,$GLP的价格经历了36%的下降,而$ETH和$BTC的价格则为65%。

image

在这种情况下,期权可以用于风险管理。如上所述,购买看涨/看跌期权使买方拥有以某种价格购买/出售标的资产的权利。由于LP想要减少损失,自然会购买看跌期权。

Arbitrum或BNB Chain上的Bracket协议正在为DeFi参与者提供这种服务。

Bracket 以点对池子的模式运作,如下图所示:

image

出资者将存入稳定币抵押品,并向买方提出“报价”。这些“报价”包括基于购买时市场现货价格的价外多头/空头合约。

购买合同时有几个变量需要考虑:

image

空头合约的买方利润情况如图所示:

image

 

在购买期权时,买方会收到一个与每个Bracket合同唯一相关的ERC-721 NFT。这个NFT跟踪合同的所有权,并使合同可以交易,从而创造潜在的二级市场。

上述几点被打包成一键式体验。Bracket能够通过小工具与其他协议整合,提供无缝的“降价保护”。

image

来源:Bracket Labs

GMX和KTX的LP可以用$ETH和$BTC的相应权重购买降价保护。

image

 

挑战

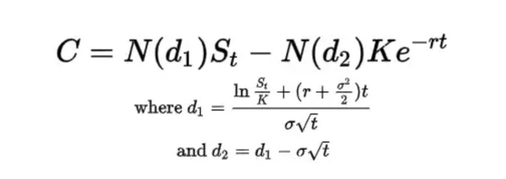
Bracket可能面临的挑战之一是期权的自动定价。期权定价非常复杂,与现货DEX使用的更简单的“恒定产品公式”相比,涉及更多的变量(到期时间、执行价格、隐含波动率、无风险利率)。

大多数点对池期权协议利用布莱克·舒尔斯模型在链上为期权溢价定价,并确保价格以自动和及时的方式更新。

image

布莱克·舒尔斯模型

这种操作很麻烦,因为:

1)模型的输入值难以确定(例如,加密货币的无风险利率是多少?)

2)输入通常来自于链外,需要持续的预言机更新。实际价格变化和预言机更新之间的延迟有可能使机器人从滞后的期权重新定价中获利。正如我们从Mango/GMX漏洞中看到的那样,预言机也是DeFi中最被频繁的攻击载体之一。

3)通用的区块链不太可能提供能准确和完全在链上更新价格所需的吞吐量。传统的做市商使用定制的硬件来更新。在每一个点位价格变化时更新1000个期权价格。

 

小结

必要性是发明之母。

链上将会有更多DeFi的采用与更多的交易,协议将更有可能能够共同协作。以DEX(现货或衍生品)为基础层,其他协议可以像乐高积木一样叠加在上面。

一些可能值得探索的潜在想法包括:

  • 使用涵盖期权增加收益

对于像GMX和KTX一样的协议,LP代币根据池子中的基础代币以及计费会产生隐含价格。在不同情况下,有可能在LP代币上写入涵盖期权,来提升收益与利润效率。

但可能面临期权定价方面的问题。

  • 抵押化的债务仓位+铸造稳定币

LP代币/份额本身就有价值,因为它们代表了池中的一定份额。银行可以接受股票/债券作为贷款抵押,同样借贷协议(Aave,Radiant Capital)也会考虑将LP份额视为抵押。

可能面临的问题:

DEX的倒闭。LP份额价格下跌时,对借贷协议的清算会导致DEX TVL的崩溃。

LP份额可能会被锁定,当锁定发生时候无法立即进行清算。但可能的解决方案是使用半同质化代币(ERC-3525)。

warnning 风险提示
app_icon
ChainCatcher 与创新者共建Web3世界