扫码下载
BTC $78,122.99 +2.05%
ETH $2,391.96 +2.68%
BNB $642.58 +0.70%
XRP $1.45 +0.83%
SOL $88.32 +2.72%
TRX $0.3335 +1.48%
DOGE $0.0980 +2.55%
ADA $0.2556 +2.03%
BCH $468.99 +5.37%
LINK $9.52 +0.78%
HYPE $40.83 -0.51%
AAVE $93.43 -0.38%
SUI $0.9673 +1.32%
XLM $0.1797 -1.01%
ZEC $319.27 -0.42%
BTC $78,122.99 +2.05%
ETH $2,391.96 +2.68%
BNB $642.58 +0.70%
XRP $1.45 +0.83%
SOL $88.32 +2.72%
TRX $0.3335 +1.48%
DOGE $0.0980 +2.55%
ADA $0.2556 +2.03%
BCH $468.99 +5.37%
LINK $9.52 +0.78%
HYPE $40.83 -0.51%
AAVE $93.43 -0.38%
SUI $0.9673 +1.32%
XLM $0.1797 -1.01%
ZEC $319.27 -0.42%

二次算术程序:关于零知识证明的论述

Summary:
Vitalik Buterin
2022-08-15 16:31:28
收藏

作者:Vitalik Buterin

原标题:《Quadratic Arithmetic Programs: from Zero to Hero

发表时间:2016 年 12 月 10 日

 

最近人们对zk-SNARKs(零知识证明)背后的技术有很多兴趣,人们越来越多地试图去揭开一些被许多人称为“月球数学”的东西的神秘面纱,因为人们认为它的复杂性非常难以理解。zk-SNARKs的理解确实相当具有挑战性,尤其是由于整个系统需要组装起来才能工作的移动部件太多,但如果我们把这项技术一件一件地分解,那么理解起来就会变得更简单。

这篇文章的目的不是用于完整的介绍zk-SNARKs,它假定您具有以下背景知识:

1- 你知道zk-SNARKs和他的大致原理;

2- 你有足够的数学知识,能理解一些基本的多项式知识。(如 if P(x)+ Q(x)=(P + Q)(x),P和Q代表多项式,如果你对这类多项式表述方式已经非常熟悉,说明你符合继续阅读的要求)。

image

zk-SNARK知识管道图,Eran Tromer绘制

如上图,可以将以上零知识证明分为由上至下的两个阶段。首先,zk-SNARK不能直接应用于任何计算问题;相反,您必须将问题转换为操作的正确“形式”。这种形式被称为“二次算术程序”(QAP),将函数的代码转换成这些代码本身就非常重要。与将函数代码转换为QAP的过程一起运行的还有另一个过程,这样,如果对代码有输入,就可以创建相应的解决方案(有时称为QAP的“见证”)。这就是本文需要讲述的内容。

在此之后,还有另一个相当复杂的过程来为这个QAP创建实际的“零知识证明”,还有一个单独的过程来验证别人传给你的证据,但是这些细节超出了本文的范围。

在下面示例中,我们将选择一个非常简单的问题:

求一个三次方程的解:x**3 + x + 5 == 35(提示:答案是3)。

这个问题很简单,但是重要的,你可以由此案例看到所有的功能是如何发挥作用的。

用编程语言描述以上方程如下:

def qeval(x):
    y = x**3
    return x + y + 5
我们在这里使用的简单编程语言支持基本的算术(+、-、、/)、恒等幂指数(x7,但不是x*y)和变量赋值,这足够强大到理论上可以在其中进行任何计算(只要计算步骤的数量是有界的;不允许循环)。注意模(%)和比较运算符(<、>、≤≥)不支持,因为没有有效的方法做模或直接比较有限循环群算法(感谢;如果有任何一种方法可以做到这一点,那么椭圆曲线密码破环的速度将超过“二分查找”和“中国剩余定理”)。

您可以通过位分解来将语言扩展到模和比较,(例如:13 = 2**3 + 2**2 + 1=8+4+1)作为辅助输入,证明这些分解的正确性,并在二进制电路中进行数学运算;在有限域算法中,执行等式(==)检查也是可行的,实际上更容易一些,但这两个细节我们现在都不讨论。我们可以扩展语言来支持条件句(例如将语句:if x < 5: y = 7; else: y = 9; 转换为算术形式:y = 7 * (x < 5) + 9 * (x >= 5);)不过请注意,条件的两个“路径”都需要执行,如果您有许多嵌套的条件,那么这会导致大量开销。

现在让我们一步一步地经历这个过程。如果你想自己做任何代码,我在这里用Python实现了一段代码(仅用于教育目的;还没有准备好为现实世界的zk-SNARK制作QAPs !)

 

第一步:压扁

 

第一步是一个“压扁”的过程,我们把原来的代码(这可能包含任意复杂的语句和表达式)分解为最简单的表达式,这种表达式有两种形式:

1- x = y (y可以是变量或数字)
2- x = y(op)z (op可以+,-,*,/,y和z可以是变量,数字或子表达式)。

你可以把这些表述看成是电路中的逻辑门。上述表达式x**3 + x + 5的扁平化过程结果如下:

sym_1 = x * x
y = sym_1 * x //相当于实现了幂函数y = x**3
sym_2 = y + x
~out = sym_2 + 5

你可以认为上述的每一行声明都是一个电路中的逻辑门,与原始代码相比,这里我们引入了两个中间变量sym_1 和 sym_2,还有一个表示输出的冗余变量 ~out,不难看出“压扁”后的声明序列和原始代码是等价的。

 

第二步:转为R1CS

 

现在,我们把它转换成一个称为R1CS(Rand-1 Constraint System)的东西。R1CS是由三个向量(a, b, c)组成的序列,R1CS的解是一个向量s,其中s必须满足方程

s . a * s . b - s . c = 0

其中 . 代表内积运算。

例如,以下是一个令人满意的R1CS:

a = (5,0,0,0,0,1),
b = (1,0,0,0,0,0),
c = (0,0,1,0,0,0),
s = (1,3,35,9,27,30),

image

(译者注:第一个35=1*5 + 30*1,第二个35=35 * 1)

上述例子只是一个约束,接下来我们要将每个逻辑门(即“压扁”后的每一个声明语句)转化成一个约束(即一个(a, b, c)三向量组),转化的方法取决于声明是什么运算 (+,-,*,/) 和声明的参数是变量还是数字。在我们这个例子中,除了“压扁”后的五个变量 ('x', '~out', 'sym_1', 'y', 'sym_2') 外,还需要在第一个分量位置处引入一个冗余变量~one来表示数字1,就我们这个系统而言,一个向量所对应的 6 个分量是(可以是其他顺序,只要对应起来即可):

'~one', 'x', '~out', 'sym_1', 'y', 'sym_2'

第一个门

sym_1 = x * x,即 x*x - sym_1 = 0

我们可以得到如下向量组:

a = [0, 1, 0, 0, 0, 0]
b = [0, 1, 0, 0, 0, 0]
c = [0, 0, 0, 1, 0, 0]

如果解向量 s 的第二个标量是 3,第四个标量是 9,无论其他标量是多少,都成立,因为:a = 3 * 1, b = 3 * 1, c = 9 * 1,即a * b = c。同样,如果 s 的第二个标量是 7,第四个标量是 49,也会通过检查,第一次检查仅仅是为了验证第一个门的输入和输出的一致性。

第二个门

y = sym_1 * x,即 sym_1 * x - y = 0
可以得到以下向量组:

a = [0, 0, 0, 1, 0, 0]
b = [0, 1, 0, 0, 0, 0]
c = [0, 0, 0, 0, 1, 0]

第三个门

sym_2 = y + x,加法门需要转换为:(x + y) * 1 - sym_2 = 0
得到以下向量组:

a = [0, 1, 0, 0, 1, 0]
b = [1, 0, 0, 0, 0, 0] 对应常量1,用~one位
c = [0, 0, 0, 0, 0, 1]

第四个门

~out = sym_2 + 5,即 (sym_2 + 5) * 1 - ~out = 0
得到以下向量组:

a = [5, 0, 0, 0, 0, 1]
b = [1, 0, 0, 0, 0, 0]
c = [0, 0, 1, 0, 0, 0]

现在,我们假设x = 3,根据第一个门,得到sym_1 = 9,根据第二个门得到y = 27,根据第三个门,得到sym_2 = 30,根据第四个门得到~out = 35,因此,根据:'~one', 'x', '~out', 'sym_1', 'y', 'sym_2',可以得到:

s = [1, 3, 35, 9, 27, 30]

如果假设不同的x,都可以得到不同的s,但所有s都可以用来验证(a, b, c)

现在我们得到了四个约束的R1CS,完整的R1CS如下:

A
[0, 1, 0, 0, 0, 0]
[0, 0, 0, 1, 0, 0]
[0, 1, 0, 0, 1, 0]
[5, 0, 0, 0, 0, 1]

B
[0, 1, 0, 0, 0, 0]
[0, 1, 0, 0, 0, 0]
[1, 0, 0, 0, 0, 0]
[1, 0, 0, 0, 0, 0]

C
[0, 0, 0, 1, 0, 0]
[0, 0, 0, 0, 1, 0]
[0, 0, 0, 0, 0, 1]
[0, 0, 1, 0, 0, 0]

 

第三步:从R1CS 到 QAP

 

下一步是将这个R1CS转换成QAP形式,它实现了完全相同的逻辑,只是使用多项式而不是内积。我们是这样做的:从4组长度为6的3个向量到6组长度为3度的多项式,在每个x坐标处求多项式代表一个约束条件。也就是说,如果我们求出x=1处的多项式,我们就得到了第一组向量,如果我们求出x=2处的多项式,我们就得到第二组向量,以此类推。

我们可以用拉格朗日插值来做这个变换。拉格朗日插值法解决的问题是:如果你有一组点(即(x, y)坐标对),然后对这些点做拉格朗日插值得到一个经过所有这些点的多项式。我们通过分解问题:对于每个x坐标,我们创建一个多项式,所需的y坐标的x坐标和y坐标0在所有其他的x坐标我们感兴趣,然后让最终结果我们一起添加所有的多项式。

让我们做一个例子。假设我们想要一个多项式经过(1,3),(2,2)和(3,4)。我们首先做一个多项式,经过(1,3)(2,0)和(3,0)。事实证明,一个多项式,“伸出”x = 1和0的其他的兴趣点是很容易的,我们只要做以下多项式即可:

y = (x - 2) * (x - 3)

如下图:

image

然后,在y轴方向“拉伸”,使用如下方程:

y = (x - 2) * (x - 3) * 3 / ((1 - 2) * (1 - 3))

经整理,得到:

y = 1.5 * x**2 - 7.5 * x + 9

满足同时经过(1,3)(2,0)和(3,0)三个点,如下图:

image

将(2,2)和(3,4)两点代入上式,可以得到:

y = 1.5 * x**2 - 5.5 * x + 7

image

就是我们想要的坐标方程。上述算法需要O(n3)时间,因为有n个点,每个点都需要O(n2)时间将多项式相乘。稍微思考一下,这就可以减少到O(n**2)的时间,再多思考一下,使用快速的傅里叶变换算法等等,它可以进一步减少——这是一个关键的优化,当在zk- spuks中使用的函数通常有成千上万个门时。

在这里我直接给出拉格朗日插值公式:

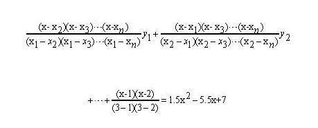
通过n个点(x1,y1),(x2,y2),(x3,y3),...,(xn,yn) 的n-1阶多项式为:

image

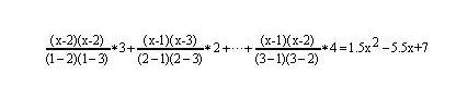
例如上例中,通过点(1,3), (2,2), (3,4)的多项式为:

image

学会使用这个公式后可以继续我们的步骤了。现在我们要将四个长度为六的三向量组转化为六组多项式,每组多项式包括三个三阶多项式,我们在每个 x 点处来评估不同的约束,在这里,我们共有四个约束,因此我们分别用多项式在 x = 1,2,3,4 处来评估这四个向量组。

现在我们使用拉格朗日差值公式来将 R1CS 转化为 QAP 形式。我们先求出四个约束所对应的每个 a 向量的第一个值的多项式,也就是说使用拉格朗日插值定理求过点 (1,0), (2,0), (3,0), (4,0) 的多项式,类似的我们可以求出其余的四个约束所对应的每个向量的第i个值的多项式。

这里,直接给出答案:

A polynomials
[-5.0, 9.166, -5.0, 0.833]
[8.0, -11.333, 5.0, -0.666]
[0.0, 0.0, 0.0, 0.0]
[-6.0, 9.5, -4.0, 0.5]
[4.0, -7.0, 3.5, -0.5]
[-1.0, 1.833, -1.0, 0.166]

B polynomials
[3.0, -5.166, 2.5, -0.333]
[-2.0, 5.166, -2.5, 0.333]
[0.0, 0.0, 0.0, 0.0]
[0.0, 0.0, 0.0, 0.0]
[0.0, 0.0, 0.0, 0.0]
[0.0, 0.0, 0.0, 0.0]

C polynomials
[0.0, 0.0, 0.0, 0.0]
[0.0, 0.0, 0.0, 0.0]
[-1.0, 1.833, -1.0, 0.166]
[4.0, -4.333, 1.5, -0.166]
[-6.0, 9.5, -4.0, 0.5]
[4.0, -7.0, 3.5, -0.5]

这些系数是升序排序的,例如上述第一个多项式是 0.833 * x**3 - 5 * x**2 + 9.166 * x - 5. 如果我们将 x=1 带入上述十八个多项式,可以得到第一个约束的三个向量

(0, 1, 0, 0, 0, 0),
(0, 1, 0, 0, 0, 0), 
(0, 0, 0, 1, 0, 0),
...
类似的我们将 x = 2, 3, 4 带入上述多项式可以恢复出 R1CS 的剩余部分。

 

第四步:检查QAP

 

通过将 R1CS 转换成 QAP 我们可以通过多项式的内积运算来同时检查所有的约束而不是像R1CS 那样单独的检查每一个约束。如下图所示:

image

因为在这种情况下,点积检验是一系列多项式的加法和乘法,结果本身就是一个多项式。如果得到的多项式,在我们上面用来表示逻辑门的每一个x坐标处的值,等于0,那就意味着所有的检查都通过了;如果结果多项式至少有一个非零值,那么这就意味着进出逻辑门的值是不一致的。

值得注意的是,得到的多项式本身不一定是零,事实上在大多数情况下不是;它可以在不符合任何逻辑门的点上有任何行为,只要在所有符合某些门的点上结果是零。为了验证正确性,我们不计算多项式t = A . s * B . s - C . s在每一点对应一个门;相反,我们把t除以另一个多项式Z,然后检查Z是否均匀地除t,也就是说,除法t / Z没有余数。

Z定义为(x - 1) * (x - 2) * (x - 3)…-最简单的多项式,在所有对应逻辑门的点上都等于0。这是代数的一个基本事实任何多项式在所有这些点上等于零都必须是这个最小多项式的倍数,如果一个多项式是Z的倍数那么它在任何这些点上的值都是零;这种对等使我们的工作容易得多。

现在,让我们用上面的多项式做内积检验。

首先,我们得到中间多项式:

A . s = [43.0, -73.333, 38.5, -5.166]
B . s = [-3.0, 10.333, -5.0, 0.666]
C . s = [-41.0, 71.666, -24.5, 2.833]
(译者注:以上计算过程:
43.0 = -5 * 1 + 8 * 3 + 0 * 35 - 6 * 9 + 4 * 27 - 1 * 30,
-73.333 = 9.166 * 1 - 11.333 * 3 + 0 * 35 + 9.5 * 9 - 7 * 27 + 1.833 * 30,
...
-3 = 3 * 1 - 2 * 3 + 0 * 35 + 0 * 9 + 0 * 27 + 0 * 30
...)

以上多项式经过:A . s * B . s - C . s 计算后得到:

t = [-88.0, 592.666, -1063.777, 805.833, -294.777, 51.5, -3.444]
(译者注:计算过程:
A . s = [43.0, -73.333, 38.5, -5.166] = -5.166 * x3 + 38.5 * x2 - 73.333 * x + 43,
B . s = [-3.0, 10.333, -5.0, 0.666] = 0.666 * x3 - 5 * x2 + 10.333 * x - 3.0,
C . s = [-41.0, 71.666, -24.5, 2.833] = 2.833 * x3 - 24.5 * x2 + 71.666 * x - 41.0
A . s * B . s - C . s 就是上面多项式的计算,计算后,按幂从低到高排列系数,得到: [-88.0, 592.666, -1063.777, 805.833, -294.777, 51.5, -3.444]

点击这里查看计算过程

最小多项式为:

Z = (x - 1) * (x - 2) * (x - 3) * (x - 4)

即:

Z = [24, -50, 35, -10, 1]

以上计算过程点击这里查看

现在计算多项式相除:

h = t / Z = [-3.666, 17.055, -3.444]

h必须是没有任何余数的整除。

可以点这里查看到过来验证

我们有了QAP的解。如果我们试图伪造R1CS中的变量,而这个R1CS推导出了QAP解决方案——比如,将s的最后一个数字设为31,而不是30,我们将得到一个t多项式失败的检查(在特定情况下,在x = 3 = 1而不是0),而且不会是Z的倍数;相反,除以t / Z会得到[-5.0, 8.833, -4.5, 0.666]的余数。

注意,以上只是一个非常简单的示例;在现实世界中,加减乘除运算通常伴随着非常规的数字,所以所有的我们知道并且爱戴的代数定律还是有用的,但是,所有答案是一些——的尺寸的元素,通常是从0到n - 1范围内的整数n。例如,如果n = 13,然后1 / 2 = 7(7 * 2 = 1),3 * 5 = 2,等等。使用有限域算法消除了对舍入误差的担心,并允许系统与椭圆曲线很好地工作,这最终对使zk-SNARK协议变得真正安全。

warnning 风险提示
app_icon
ChainCatcher 与创新者共建Web3世界