探索 NFT 价格定义
文章作者:Gringotts DAO
文章翻译:Block unicorn
原文标题:《Exploring NFT Price Distribution Across Collections》
虚拟土地、PFP(NFT头像)和游戏资产等 NFT 类别是评估项目和收藏品的常用框架。然而,这些资产的一个较少讨论且有时违反直觉的属性是其在集合中的价格“等级”,以及相同价格等级的资产如何在集合和 NFT 类别中表现。
Gringotts DAO的使命是成为 NFT 持有者获得流动性的一站式商店。随着新的NFT 金融化协议的迅速出现,我们着手评估不同方法在用户寻求流动性的 NFT 类型的背景下的效果。我们没有仅仅关注资产类别,而是研究了所有这些资产共有的属性——它们的价格。
更具体地说,我们试图回答 3 个问题:
NFT 在整个市场的价格分布情况如何?
是否出现了价格分布模式,如果有,它们有多普遍?
从这些分布中,我们如何定义可能使给定 NFT 比其他流动性方法更适合某些流动性方法的价格“等级”?
主要发现之一是集合和 NFT 类别中的项目可能比同一集合中的项目表现得更相似。因此,价格分布分析可以让用户和开发人员更全面地了解在哪里最好地找到流动性,以及金融化方法的潜在市场。
方法
NFTBank是一种算法资产估值产品,它使用机器学习根据类似资产的过去定价来预测 NFT 价格。我们从 NFT 银行提取了超过 3 个月的数据。首先是2021 年 12 月15 日(279 次收藏,约 240 万 NFT,约 370 万 ETH 市值),然后是 2022 年1月13 日(540 次收藏,约 1420 万 NFT,约 890 万 ETH 市值),大多数最近于2022年 2 月27 日(538 个收藏,约 1480 万 NFT,约 650 万 ETH 市值)
本文深入探讨了我们发现的 4 个观察结果:
1.价格分布通常非常集中在集合之间和集合内。
2.价格分布有 5 种主要“形状”,它们似乎与 NFT“类别”(PFP、游戏、虚拟土地等)无关。
3.价格分布形态一般保持不变。对于 75% 的收藏品,价格分布在不同时间点上保持不变。对于那些发生变化的人来说,它是朝着“相关”的形状发展的。
4.对于具有指数衰减和类对数正态分布的集合(60% 的集合),我们可以定义和检查底层、中层和顶层资产的行为。
集中价格分布
在各个系列中,市场集中在前 10 个系列占市值的 60% 以上,(标准化)基尼系数约为 0.9。
在收藏品中,大多数价格分布遵循大多数商品定价接近底价的模式。剩下的几件商品构成了价格范围的大部分,因此对收藏品的市值做出了重大贡献。
标准化价格分布图示例:

在这些图表中,x 轴被分成 100 个相等的部分,因此例如第一个图表(CryptoPunks)表明几乎所有朋克的定价都在全价范围的前 2% 内。
这对于最适合场内项目的 NFT 金融化产品来说是有希望的,例如,像NFTX这样的流动性池可以充当 “ 场内 AMM ”,为 NFT 所有者提供即时流动性,他们可以将场内资产与池进行交易。
具有大量场内物品和可靠价格馈送的集合(那些经常在许多不同的唯一地址之间交易的集合)也可以作为 P2Pool 借贷产品的抵押品。这是因为地板资产通常可以“相同”对待,因此不需要人工评估。一旦插入价格馈送和评估风险的自动化手段,贷款条款就可以自动化。
但是,在上面的示例中,请注意某些集合(例如 VeeFriends 和 Decentraland)不适合这种“模式即地板价”模式。事实上,价格分布模式属于 5 种不同形状之一,这将我们带到下一个观察。
价格分布有五种主要形式
在各个系列中,我们观察到的价格分布形状是:
1)指数衰减。这些是其大部分商品在地板上定价的收藏品,还有高价商品的长尾。我们抽样的约 40% 的藏品展示了这种概况。示例包括 Cryptopunks、RTFKT Clone X + Murakami 和 Mutant Ape Yacht Club

2)类对数正态分布具有与指数相似的形状,但模式略高于底价。我们抽样的约 20% 的藏品展示了这种概况。示例包括 Bored Ape Yacht Club、Sandbox LAND 和 Decentraland。

3)对称(或类似正态)分布是指资产高度集中在平均价格附近,两侧逐渐减少。我们抽样的约 5% 的藏品展示了这种概况。示例包括 Anonymice、Blitmap 和 Rollbots。

4)多模态分布在更广泛的范围内表现出多个颠簸和尖峰。我们抽样的约 20% 的藏品展示了这种概况。示例包括 VeeFriends、Autoglyphs 和 FLUF 世界。

5)点分布模式具有上述形状之一,但价格分布在

有趣的是,NFT 类别(PFP、虚拟土地、游戏资产等)与价格分布形状无关。例如,在 Cryptovoxels、Decentraland 和 Somnium Space 中的虚拟土地 NFT 都具有不同的分布(指数分布、对数正态分布(分别在 Jan/Dec 数据中对称)和多模态分布)。

价格分布很可能是集合本身固有特征的函数,而不是它所属的 NFT 类别。对于土地,这可能是位置、地块大小、人流量(创收潜力)、已经建成并因此以溢价出售的土地等。
接下来,我们研究了这些价格分布是否随时间而变化。
价格分布(通常)保持不变
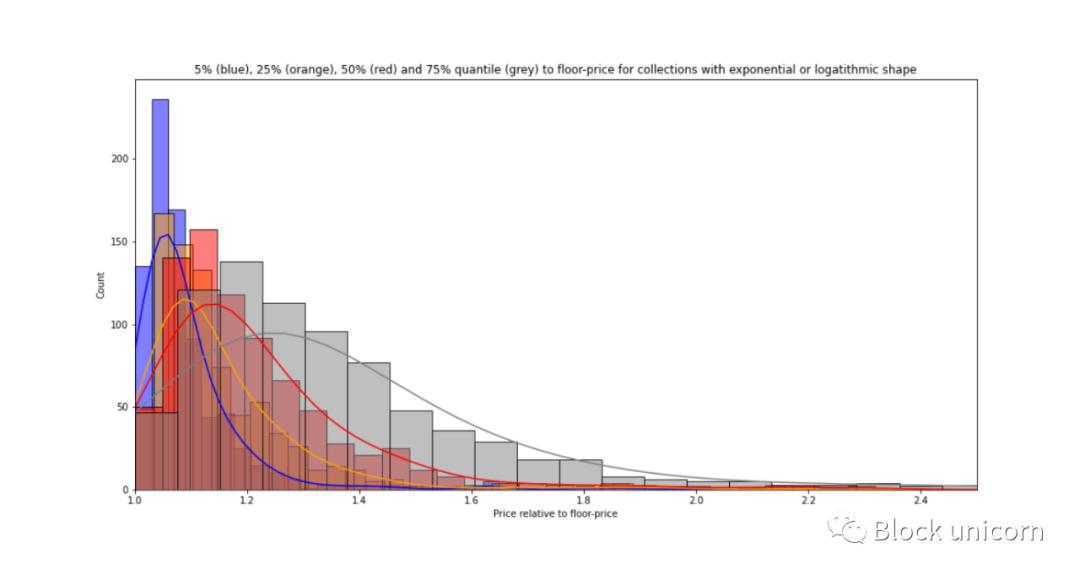
由于这里的数据有限(3 个数据点),只有时间才能证明这里的分析是否会持续到未来。再次查看标准化价格,我们可以看到 12 月(灰色)和 1 月(红色)的价格分布通常(但不总是)与 2 月(蓝色)的价格分布一致或至少具有相似的形状。

在1月份和2月份的数据中都包括的537个藏品中,166个价格分布形状发生了变化(30%)。从1月到12月,我们也看到了类似的比例变化(25%)。这听起来可能很多,但请记住,上面对集合的分布形状的分类有点模糊,因为我们对截止日期并不是太严格。
例如,人们可以区分指数衰减和对数正态:“ 如果模式>底价=>对数正态 ”。看看下面的模式与底价的比率,我们选择了一个更宽松的定义,并允许模式甚至在底价之上10%-20%,因为我们看了拟合的分布来对它们的形状进行分类。

在此基础上,我们认为指数衰减分布和对数正态分布是“相关的”。
对于观察到价格分布发生变化的情况:
~42%更改为点分布或从点分布更改。点数分布有其他四种形式中的一种,只是价格范围非常窄。
~26%由指数衰减或对数正态变为多峰。这个类的定义也比较柔和,因为我们的发行版通常只有一种模式。我们定义这个形状是为了将像VeeFriends及其几个凹凸(模式)这样的分布与其他形状分开。
~22%是指数衰减到对数正态分布/从对数正态分布(如果我们采用严格的方法,这个数字会高得多)。
~10%的剩余变化均为对称分布,其中对数正态分布占主要份额(6%)。这也是由于对数正态分布和对称分布之间的直线定义相当松散(即这两种形状也是“相关的”)。
定义价格阶梯
基于以上观察,我们寻找具有指数衰减和对数正态形状的集合来定义价格阶梯,因为底价可以作为这里的合理锚点。当然,由于“绝对”下限可能只是一个标价最低的商品,我们希望找到一个适当的乘数来将更多的商品归类为下限商品。
定义下限:我们研究了不同的下限分位数及其与底价的比率。

在这800件藏品中,约90%的中位数低于1.4*底价。在这里选择一个门槛更多地取决于我们所考虑的用例:如果我们更靠右地包括更大份额的收藏项目,我们就会运行扩展其价格范围的成本,从而使这一集合不那么同质。
要使阈值适用于约90%的集合,阈值为:
1.3给出了25%的分位数(因此涵盖了25%的项目)。
1.4给出约50%分位数/中位数。
1.75表示~75%的分位数。
不到30%的藏品可能太少,而[底价,底价*1.75]的价格范围可能太宽了。因此,我们选择乘数1.4作为下限。换言之,“楼层” 项目是指在[地板价、地板价*1.4]的价格范围内的项目。对于三分之二的藏品来说,这包括75%的物品。
定义顶级项目:我们可以使用顶级分位数遵循类似的路线:

2.5的门槛覆盖了90%的收藏-这800个收藏中的85%。它还将95%的藏品包括在三分之二的藏品中,甚至99%的藏品包括在~20%的藏品中。换句话说,2.5的门槛将把前10%的资产放在90%的集合的“顶级”存储桶中。
同样,我们可以对该集合进行更多的排他性操作,例如将此阈值增加到4。
在这些关于底价和顶价的定义下,我们可以将价格在[底价*1.4,底价*2.5]之间的中端产品定义为。现在我们来看看这些价格阶梯的特点。
定义价格层的特征
以底价对底价* 1.4定价的项目。
地板通常占收藏品的 50-75%,占其市值的 25-50%。它们的数量和同质行为使其适合流动性池,有效地充当“场内 AMM”,用户可以在场内资产的交易活动中获得收益,并享受与其他价格等级相比最深的流动性。
项目标价底价*1.4至底价*2.5。
地板价通常占产品的20%-40%,占收藏市值的10%-20%。就目前的情况而言,中端产品可能是最不赚钱的交易品种,因为它们需要的流动性低于场内交易,而且与Grails相比,它们对反射性上涨的敞口更小。集合,其中模式是中端(那些具有对称价格分布的),可能是许多用户对资产本身的属性或效用更感兴趣的集合,而不是价格。例如,虚拟土地楼层可能太小或位于不赚钱的位置,而大而流量大的土地可能太贵或不出售。因此,土地买家寻找位置、土地尺寸和价格都很好的资产
如果事实证明,地板价包含一些“暂时”项目,即底价上涨或价格下跌,那么这可能是投机和相关对冲应用的一层。


TOP或头部项目,商品定价>底价*2.5。
头部项目通常占商品的5%-10%,占收藏市值的20%-40%。古董的销售非常嘈杂,价格变动也很大,其表现类似于“传统”艺术品或房地产中的高端物品。虽然它们的交易量和速度都很低,但它们有很好的潜力用作抵押品或通过分拆获得流动性。


关于三个层级中每一层的物品份额,我们看到楼层物品(蓝色)的份额很大。这里和那里都很小,但这与我们形状的模糊定义有关,例如Meebit(第一栏)没有完全遵循我们的层级逻辑,因为它有我们在上面进一步展示的这些额外的凹凸:

集合名称很小,但名称末尾的(Jan)或(Dec)分别表示它来自1月或12月的数据集。
当我们看每一级价格的市场份额时,关于这些级别的市值份额,情况变得有点嘈杂。虽然地板似乎仍然占据了大部分的市场份额,但对于藏品来说,杯状物比地板高出10-1000倍,侵蚀了藏品的市值,这是很常见的。
总体而言,约25%-50%的市值属于下层,10%-20%属于中端,20%-40%属于顶级:

未来的工作
在本文中,我们采取了一些初步步骤,根据NFT的价格变动行为和各自集合中的层对NFT进行分类。正如我们在上面提到的,可以根据用例调整层的界限。对我们来说,目的之一是得出跨集合和资产类别的NFT的共同行为和特征,以告知持有者寻找流动性的最佳途径,这一分析有助于为该评价矩阵提供信息。

现在我们对资产在集合中的行为方式有了一个高级概述,我们可以放大我们在此处所做的显著观察并进一步分析它,例如:
给定集合的哪些主要属性可能导致它们具有它们所做的价格分布模式?
哪些内部(例如项目开发)或外部(例如市场情绪)因素会导致给定系列随着时间的推移改变其价格分布形状?
价格分布是否可以成为给定金融化协议的领先指标或分析指标,以装载给定资产(例如抵押品或启动 NFT AMM)?
我们希望在以后的文章中探讨这些问题。目前,我们提供了用于定义价格等级的量化心智模型,以及一个初步框架,用于评估我们在未来几个月对 NFT 流动性方法的假设。













